Rootable의 개발일기
플로이드-워셜(Floyd-warshall) 알고리즘 본문
반응형
📌 정의
시작점을 지정하지 않고 그래프에서 모든 노드와 관련된 최단 거리를 구하는 알고리즘
📌 주요 특징
| 기능 | 특징 | 시간 복잡도(노드 수: V) |
| 모든 노드 간에 최단 경로 탐색 | - 음수 가중치 Edge가 있어도 수행 가능 - 동적 계획법의 원리를 이용해 알고리즘에 접근 |
O(V^3) |
📌 핵심 이론
최단 경로를 구했다고 가정했을 때, 그것을 이루는 부분 경로 역시 최단 경로이다.
예를 들어, A에서 B까지 최단 경로를 구했다고 가정한다. 이때, 해당 경로 위에 K 노드가 존재한다면 A에서 K 노드를 거쳐 B에 도착하는 경로 역시 최단 경로라는 것이다. 따라서 점화식은 다음과 같이 도출된다.
D[S][E] = Math.min(D[S][E], D[S][K] + D[K][E])
📌 접근 방법
🔎 초기 배열
D[S][E]는 노드 S에서 E까지의 최단 거리를 저장하는 배열이다. 자기 자신에게 가는 경로가 없을 때, 최단 경로값은 0이고, 나머지는 매우 큰 값으로 지정한다.

| S/E | 1 | 2 | 3 | 4 | 5 |
| 1 | 0 | ∞ | ∞ | ∞ | ∞ |
| 2 | ∞ | 0 | ∞ | ∞ | ∞ |
| 3 | ∞ | ∞ | 0 | ∞ | ∞ |
| 4 | ∞ | ∞ | ∞ | 0 | ∞ |
| 5 | ∞ | ∞ | ∞ | ∞ | 0 |
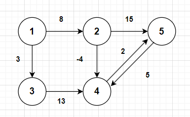
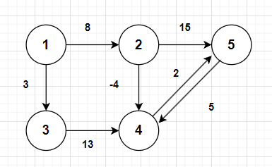
🔎 가중치 인접 행렬
| S/E | 1 | 2 | 3 | 4 | 5 |
| 1 | 0 | 8 | 3 | ∞ | ∞ |
| 2 | ∞ | 0 | ∞ | -4 | 15 |
| 3 | ∞ | ∞ | 0 | 13 | ∞ |
| 4 | ∞ | ∞ | ∞ | 0 | 2 |
| 5 | ∞ | ∞ | ∞ | 5 | 0 |
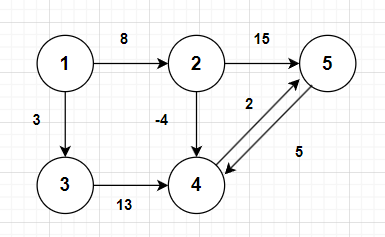
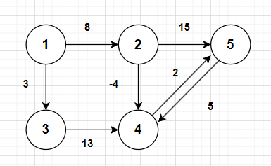
🔎 점화식
3중 for 문으로 검사한다. 첫 번째 루프는 모든 경유지이고, 두 번째는 출발지, 마지막 루프는 목적지다. 해당 루프 내에서 위의 점화식을 대입하면 한 번에 도착했을 때와 경유지를 거쳤을 때의 가중치를 비교하여 최단 거리를 구한다. 이것이 성립할 수 있는 이유는 플로이드-워셜의 이론인 최단 경로 내 부분 경로가 최단 경로를 보장하기 때문이다.
for 경유지 K:
for 출발 노드 S:
for 목적지 노드 E:
D[S][E] = Math.min(D[S][E], D[S][K] + D[K][E]);
| S/E | 1 | 2 | 3 | 4 | 5 |
| 1 | 0 | 8 | 3 | 4 | 6 |
| 2 | ∞ | 0 | ∞ | -4 | -2 |
| 3 | ∞ | ∞ | 0 | 13 | 15 |
| 4 | ∞ | ∞ | ∞ | 0 | 2 |
| 5 | ∞ | ∞ | ∞ | 5 | 0 |
Reference:

반응형
'알고리즘' 카테고리의 다른 글
| 버블 정렬(Bubble Sort) (1) | 2023.10.26 |
|---|---|
| 선택 정렬(Selection Sort) (0) | 2023.10.26 |
| 최소 신장 트리(Minimum Spanning Tree) (0) | 2023.10.06 |
| 유니온 파인드(union-find) 알고리즘 (0) | 2023.10.05 |
| 다익스트라(Dijkstra) 알고리즘 (0) | 2023.10.04 |