Rootable의 개발일기
다익스트라(Dijkstra) 알고리즘 본문
반응형
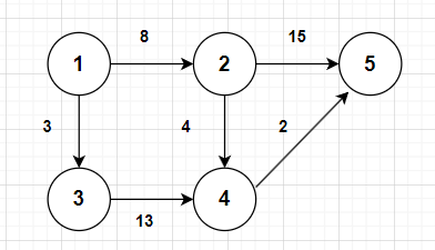
사이클 없는 양수 가중치 그래프에서 최단 거리를 구하는 알고리즘
시간 복잡도 : O(ElogV) (V : 노드 수, E : 에지 수)
📌 핵심 이론

🔎 인접 리스트
다익스트라 알고리즘은 인접 행렬보다 시각 복잡도 측면, N의 크기가 클 것을 대비해 인접 리스트로 구현하는 것이 좋다.

🔎 최단 거리 배열 초기화
최단 거리 값을 저장하기 위한 배열을 만든다. 출발 노드는 0, 나머지 노드는 매우 큰 값으로 초기화한다.

🔎 값이 가장 작은 노드 고르기
최단 거리 배열에서 현재 값이 가장 작은 노드를 고른다. 따라서, 출발 노드에서 시작하면 된다.
🔎 최단 거리 배열 업데이트
인접 리스트와 최단 거리 배열 값을 비교하여 둘 중 작은 값으로 최단 거리 배열을 갱신한다.
Min(출발 노드의 최단 거리 배열의 값 + 가중치, 인접 노드의 최단 거리 배열의 값)
=> Min(현재 노드까지 온 거리 + 목적지 노드까지의 거리, 앞서 구해진 목적지 노드까지의 거리)

🔎 모든 노드가 처리될 때까지 반복
최단 거리를 찾은 정점 중 거리가 가장 짧은 정점이 새로운 출발 노드가 되는데, 더 이상 이동할 곳이 없을 때까지 반복한다. 따라서, 도달할 수 없는 정점의
최단 거리 배열의 값은 매우 큰 값이 그대로 남는다.
다익스트라 알고리즘은
출발 노드와 도착 노드 간의 최단 거리(X)
출발 노드와 이외의 모든 노드 간의 최단 거리(O)
📌 구현
import java.io.IOException;
import java.util.*;
public class Main {
static ArrayList<Edge>[] A; //인접 리스트
static int[] dist; //최단 거리 배열 (1번 노드에서 각 노드까지의 최단 거리)
public static void main(String[] args) throws IOException {
int N = readInt();
int M = readInt();
A = new ArrayList[N + 1];
dist = new int[N + 1];
for (int i = 1; i <= N; i++) {
A[i] = new ArrayList<>();
}
for (int i = 1; i <= N; i++) {
dist[i] = Integer.MAX_VALUE; //최단 거리 배열 초기화
}
for (int i = 0; i < M; i++) {
int s = readInt();
int e = readInt();
int w = readInt();
A[s].add(new Edge(e, w)); //인접 리스트에 그래프 정보 저장
}
dijkstra();
for (int i = 2; i <= N; i++) {
if (dist[i] != Integer.MAX_VALUE)
System.out.println(i + " : " + dist[i]);
else
System.out.println(i + " : impossible");
}
}
static void dijkstra() {
PriorityQueue<Edge> pq = new PriorityQueue<>(); //현재 구해진 최단 거리 정보
dist[1] = 0; //1번 노드에서 각 정점까지의 거리
pq.offer(new Edge(1, 0));
while (!pq.isEmpty()) {
Edge cur = pq.poll();
int vex = cur.dst;
int cost = cur.cost;
if (cost > dist[vex]) continue; //더 큰 비용이 드는 경로
for (Edge edge : A[vex]) { //vex 와 연결된 정점
/**
* 기존의 최단 거리보다 적은 거리를 찾으면 갱신
* cost : 1번 노드에서 현재 정점(vex)까지의 거리
* edge.cost : 현재 정점에서 다음 정점(edge.dst)까지의 거리
* dist[edge.dst] : 이미 구해진 다음 정점까지의 최단 거리
**/
if (cost + edge.cost < dist[edge.dst]) {
dist[edge.dst] = cost + edge.cost;
pq.offer(new Edge(edge.dst, cost + edge.cost));
}
}
}
}
static class Edge implements Comparable<Edge> {
int dst; //목적지
int cost; //비용
public Edge(int dst, int cost) {
this.dst = dst;
this.cost = cost;
}
@Override
public int compareTo(Edge o) {
return this.cost - o.cost; //비용 오름차순
}
}
static int readInt() throws IOException {
int c, n = System.in.read() & 15;
while ((c = System.in.read()) > 32) n = (n << 3) + (n << 1) + (c & 15);
return n;
}
}
Reference:
자바(Java) 알고리즘 문제풀이 입문: 코딩테스트 대비 - 인프런 | 강의
자바(Java)로 코딩테스트를 준비하시는 분을 위한 강좌입니다. 코딩테스트에서 가장 많이 출제되는 Top 10 Topic을 다루고 있습니다. 주제와 연동하여 기초문제부터 중급문제까지 단계적으로 구성
www.inflearn.com

반응형
'알고리즘' 카테고리의 다른 글
| 버블 정렬(Bubble Sort) (1) | 2023.10.26 |
|---|---|
| 선택 정렬(Selection Sort) (0) | 2023.10.26 |
| 최소 신장 트리(Minimum Spanning Tree) (0) | 2023.10.06 |
| 유니온 파인드(union-find) 알고리즘 (0) | 2023.10.05 |
| 플로이드-워셜(Floyd-warshall) 알고리즘 (0) | 2023.09.30 |